Date: 22.03.2026 - 03:54
For emergency calls: 0090 312 427 10 32 / 0090 534 456 94 98 (Mobile)
Date: 22.03.2026 - 06:24
For emergency calls:
0090 312 427 10 32 / 0090 534 456 94 98 (Mobile)
Sri Lanka Embassy Ankara
  • Home Page
  • News
    • Mission News
    • Mission Newsletters
    • Sri Lanka News
  • About Us
    • The Embassy
    • Ambassador
    • Mission Staff
    • Honorary Consuls
    • Public Holidays
  • Country Profile
    • President of Sri Lanka
    • Prime Minister of Sri Lanka
    • Minister of Foreign Affairs
    • National Symbols of Sri Lanka
      • Sri Lanka Emblem
      • National Anthem
      • National Flag
      • National Tree
      • National Flower
      • National Bird
    • Economy
    • History
    • General Information
  • Consular & Visa
    • Job Order Authentication Procedure
    • Issuance of a New Passport
      • General information
      • Issuance of a New Passports in lieu of a Current / Expired Passport
      • Issuance of New Passports to Children Under 16 Years
      • Issuance of New Passports for Newly Born Children
      • Issuance of New Passports in Lieu of Lost / Damage / Stolen Passports
      • Issuance of Temporary/Emergency Passports
      • Amendments, Inclusion and Deletion of Endorsements of Passport
    • Registration of Birth Out Side of Sri Lanka
    • Registration of Marriages
      • Legal Requirements for Registrations of Marriages in Mission
      • Getting Married in Sri Lanka (For Foreign Nationals)
    • Registration of Deaths
    • Legalization, Authentication & Attestation of Documents
    • Visa
      • Issuance of Visa
      • Journalist Visa
      • Residence / Work Visa
      • Visa Overstay Penalty
    • Appointment For Consular Matters
  • Bilateral Relations
    • Turkiye
    • Ukraine
    • Georgia
  • Trade / Tourism & Investment
    • Trade
      • Sri Lanka-Turkey Trade Relations
      • Sri Lanka -Georgia Trade Relations
      • Sri Lanka -Ukraine Trade Relations
    • Tourism
      • Tourism in Sri Lanka
      • Sri Lanka Tourism Map
    • Investments
      • Investment Opportunities in Sri Lanka
      • Why Sri Lanka
      • Investment Guide
    • Appointment to Meet Trade Officer
  • Culture
    • Food
    • Festivals
    • Arts
  • Register with Embassy
    • Sri Lankan living in Turkiye
    • Sri Lankan living in Ukraine
    • Sri Lankan living in Georgia
  • Contact Us
    • Embassy
    • Honorary Consuls
      • Turkey
      • Ukraine
      • Georgia

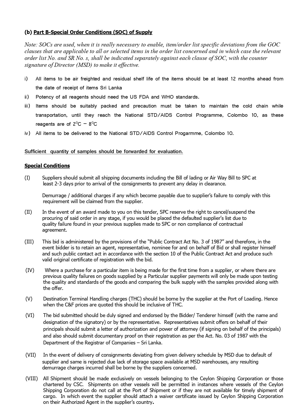
Procurement Notice - State Pharmaceuticals Corporation of Sri Lanka ( Bid Number – DHSLWW11425)

News / Sri Lanka News

Procurement Notice - State Pharmaceuticals Corporation of Sri Lanka ( Bid Number – DHSLWW11425)

  • 16.12.2025 - 16:22

Procurement Notice - State Pharmaceuticals Corporation of Sri Lanka ( Bid Number – DHSLWW11425)

Read for more information


Procurement Notice - SriLankan Airlines Ltd Invitation for submission of bids for the Selection of Creative Agencies for Sri Lankan Airlines Reference No.: ADV/CREATIVE/ICB/RFP/01/2026

Procurement Notice - SriLankan Airlines Ltd Invitation for submission of bids for the Selection of Creative Agencies for Sri Lankan Airlines Reference No.: ADV/CREATIVE/ICB/RFP/01/2026

Invitation for Bids (IFB) - Ceylon Petroleum Storage Terminals Limited (CPSTL) Engineering, Procurement, Construction, Commissioning, (EPCC) of Kolonnawa to Harbour Pipeline Project (KHPP)

Invitation for Bids (IFB) - Ceylon Petroleum Storage Terminals Limited (CPSTL) Engineering, Procurement, Construction, Commissioning, (EPCC) of Kolonnawa to Harbour Pipeline Project (KHPP)

Procurement Notices - State Pharmaceuticals Corporation of Sri Lanka

Procurement Notices - State Pharmaceuticals Corporation of Sri Lanka

    • Procurement Notice - SriLankan Airlines Ltd Invitation for submission of bids for the Selection of Creative Agencies for Sri Lankan Airlines Reference No.: ADV/CREATIVE/ICB/RFP/01/2026
      Procurement Notice - SriLankan Airlines Ltd Invitation for submission of bids for the Selection of Creative Agencies for Sri Lankan Airlines Reference No.: ADV/CREATIVE/ICB/RFP/01/2026
    • Invitation for Bids (IFB) - Ceylon Petroleum Storage Terminals Limited (CPSTL) Engineering, Procurement, Construction, Commissioning, (EPCC) of Kolonnawa to Harbour Pipeline Project (KHPP)
      Invitation for Bids (IFB) - Ceylon Petroleum Storage Terminals Limited (CPSTL) Engineering, Procurement, Construction, Commissioning, (EPCC) of Kolonnawa to Harbour Pipeline Project (KHPP)
    • Procurement Notices - State Pharmaceuticals Corporation of Sri Lanka
      Procurement Notices - State Pharmaceuticals Corporation of Sri Lanka
    • Invitation for Bids (IFB) - Ceylon Petroleum Storage Terminals Limited (CPSTL) Replacement of Petroleum Storage Tank No. 30 and 31 at Kolonnawa Installation Sri Lanka
      Invitation for Bids (IFB) - Ceylon Petroleum Storage Terminals Limited (CPSTL) Replacement of Petroleum Storage Tank No. 30 and 31 at Kolonnawa Installation Sri Lanka
    • Request for Expression of Interest (REOI) – Select Consulting Firms for Regional Empowerment through Vibrant, Inclusive and Viable Economic (REVIVE) IRDP
      Request for Expression of Interest (REOI) – Select Consulting Firms for Regional Empowerment through Vibrant, Inclusive and Viable Economic (REVIVE) IRDP
    • Procurement Notice - State Pharmaceuticals Corporation of Sri Lanka
      Procurement Notice - State Pharmaceuticals Corporation of Sri Lanka
    • Press Release on the Special Media Briefing by H.E. the Anura Kumara Dissanayake, President of Sri Lanka, held at the Presidential Secretariat on 05 March 2026
      Press Release on the Special Media Briefing by H.E. the Anura Kumara Dissanayake, President of Sri Lanka, held at the Presidential Secretariat on 05 March 2026
    • Invitation for Expression of Interest (EOI) - Ministry of Industry and Entrepreneurship Development Integrated Mine Development and Value-Added Graphite-based Product Developmen
      Invitation for Expression of Interest (EOI) - Ministry of Industry and Entrepreneurship Development Integrated Mine Development and Value-Added Graphite-based Product Developmen
    • Procurement Notices - State Pharmaceuticals Corporation of Sri Lanka
      Procurement Notices - State Pharmaceuticals Corporation of Sri Lanka
    • Procurement Notices - State Pharmaceuticals Corporation of Sri Lanka
      Procurement Notices - State Pharmaceuticals Corporation of Sri Lanka
    • Invitation for Bids (IFB) - Ceylon Petroleum Storage Terminals Limited (CPSTL) Supply of 02 Nos. 15” Circumference Mooring Hawsers with Thimbles Bid Ref. No. KPR/11/2026
      Invitation for Bids (IFB) - Ceylon Petroleum Storage Terminals Limited (CPSTL) Supply of 02 Nos. 15” Circumference Mooring Hawsers with Thimbles Bid Ref. No. KPR/11/2026
    • Expression of Interest (EOI) for Kahatagaha Graphite Mine
      Expression of Interest (EOI) for Kahatagaha Graphite Mine
    • Procurement Notice - State Pharmaceuticals Corporation of Sri Lanka
      Procurement Notice - State Pharmaceuticals Corporation of Sri Lanka
    • Media Notice from the Department of Immigration & Emigration
      Media Notice from the Department of Immigration & Emigration
    • Invitation for Bids (IFB) - SriLankan Catering Ltd
      Invitation for Bids (IFB) - SriLankan Catering Ltd
    • Invitation for Bids (IFB) - Ceylon Petroleum Storage Terminals Limited Supply of Petroleum RTW Hoses Bid Ref. No. KPR/31A/2026
      Invitation for Bids (IFB) - Ceylon Petroleum Storage Terminals Limited Supply of Petroleum RTW Hoses Bid Ref. No. KPR/31A/2026
    • Addendum Notice - Ceylon Petroleum Storage Terminals Limited Procurement, Construction and Commissioning of 2 Nos. 15,000 m3 and 1 No. 10,000 m3 Storage Tanks and Associated Facilities at Muthurajawela
      Addendum Notice - Ceylon Petroleum Storage Terminals Limited Procurement, Construction and Commissioning of 2 Nos. 15,000 m3 and 1 No. 10,000 m3 Storage Tanks and Associated Facilities at Muthurajawela
    • Extension Notice -Ministry of Industry and Entrepreneurship Development Rehabilitation, Development and Recommencing the Operations of the Kurinchathivu Saltern on a Public Private Partnership (”PPP”) basis Assignment
      Extension Notice -Ministry of Industry and Entrepreneurship Development Rehabilitation, Development and Recommencing the Operations of the Kurinchathivu Saltern on a Public Private Partnership (”PPP”) basis Assignment

Sri Lanka Embassy

  • Gaziosmanpaşa, Kırlangıç Sk. No:41, 06700 Çankaya/Ankara
  • slemb.ankara@mfa.gov.lk
  • +90 312 427 10 20 - 25
  • +90 312 427 10 26
  • For emergency calls
    0090 312 427 10 32 / 0090 534 456 94 98 (Mobile)
  • Google Map
© Copyrights 2021 Sri Lanka Embassy in Türkiye All rights reserved.