Date: 8.04.2026 - 07:58
For emergency calls: 0090 312 427 10 32 / 0090 534 456 94 98 (Mobile)
Date: 8.04.2026 - 10:28
For emergency calls:
0090 312 427 10 32 / 0090 534 456 94 98 (Mobile)
Sri Lanka Embassy Ankara
  • Home Page
  • News
    • Mission News
    • Mission Newsletters
    • Sri Lanka News
  • About Us
    • The Embassy
    • Ambassador
    • Mission Staff
    • Honorary Consuls
    • Public Holidays
  • Country Profile
    • President of Sri Lanka
    • Prime Minister of Sri Lanka
    • Minister of Foreign Affairs
    • National Symbols of Sri Lanka
      • Sri Lanka Emblem
      • National Anthem
      • National Flag
      • National Tree
      • National Flower
      • National Bird
    • Economy
    • History
    • General Information
  • Consular & Visa
    • Job Order Authentication Procedure
    • Issuance of a New Passport
      • General information
      • Issuance of a New Passports in lieu of a Current / Expired Passport
      • Issuance of New Passports to Children Under 16 Years
      • Issuance of New Passports for Newly Born Children
      • Issuance of New Passports in Lieu of Lost / Damage / Stolen Passports
      • Issuance of Temporary/Emergency Passports
      • Amendments, Inclusion and Deletion of Endorsements of Passport
    • Registration of Birth Out Side of Sri Lanka
    • Registration of Marriages
      • Legal Requirements for Registrations of Marriages in Mission
      • Getting Married in Sri Lanka (For Foreign Nationals)
    • Registration of Deaths
    • Legalization, Authentication & Attestation of Documents
    • Visa
      • Issuance of Visa
      • Journalist Visa
      • Residence / Work Visa
      • Visa Overstay Penalty
    • Appointment For Consular Matters
  • Bilateral Relations
    • Turkiye
    • Ukraine
    • Georgia
  • Trade / Tourism & Investment
    • Trade
      • Sri Lanka-Turkey Trade Relations
      • Sri Lanka -Georgia Trade Relations
      • Sri Lanka -Ukraine Trade Relations
    • Tourism
      • Tourism in Sri Lanka
      • Sri Lanka Tourism Map
    • Investments
      • Investment Opportunities in Sri Lanka
      • Why Sri Lanka
      • Investment Guide
    • Appointment to Meet Trade Officer
  • Culture
    • Food
    • Festivals
    • Arts
  • Register with Embassy
    • Sri Lankan living in Turkiye
    • Sri Lankan living in Ukraine
    • Sri Lankan living in Georgia
  • Contact Us
    • Embassy
    • Honorary Consuls
      • Turkey
      • Ukraine
      • Georgia

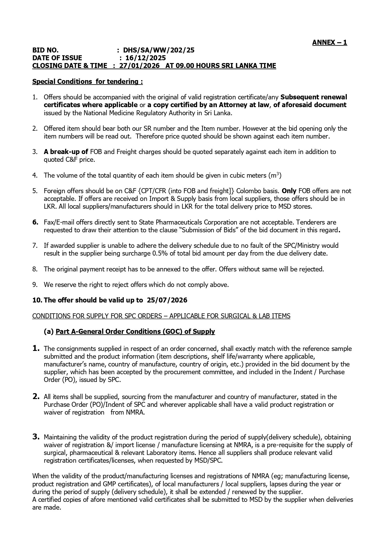
Procurement Notice - State Pharmaceuticals Corporation of Sri Lanka

News / Sri Lanka News

Procurement Notice - State Pharmaceuticals Corporation of Sri Lanka

  • 17.12.2025 - 15:45

Procurement Notice - State Pharmaceuticals Corporation of Sri Lanka

Read for more information


Procurement Notices - State Pharmaceuticals Corporation of Sri Lanka

Procurement Notices - State Pharmaceuticals Corporation of Sri Lanka

Invitation for Bids (IFB) – Sri Lanka Railways Procurement for the Supply of 5000 Pairs Rail Joint Shims 90 (A) LBS. to Sri Lanka Railways Procurement No: SRS/F.8133

Invitation for Bids (IFB) – Sri Lanka Railways Procurement for the Supply of 5000 Pairs Rail Joint Shims 90 (A) LBS. to Sri Lanka Railways Procurement No: SRS/F.8133

Invitation for Bids (IFB) – Ministry of Defence Pool Exchange of Bell 212 Fuselage Assy with Serviceable Complete Bell 212 Helicopter for Sri Lanka Air Force Procurement Identification No: AHQ/24/FP/BEL/1022

Invitation for Bids (IFB) – Ministry of Defence Pool Exchange of Bell 212 Fuselage Assy with Serviceable Complete Bell 212 Helicopter for Sri Lanka Air Force Procurement Identification No: AHQ/24/FP/BEL/1022

    • Procurement Notices - State Pharmaceuticals Corporation of Sri Lanka
      Procurement Notices - State Pharmaceuticals Corporation of Sri Lanka
    • Invitation for Bids (IFB) – Sri Lanka Railways Procurement for the Supply of 5000 Pairs Rail Joint Shims 90 (A) LBS. to Sri Lanka Railways Procurement No: SRS/F.8133
      Invitation for Bids (IFB) – Sri Lanka Railways Procurement for the Supply of 5000 Pairs Rail Joint Shims 90 (A) LBS. to Sri Lanka Railways Procurement No: SRS/F.8133
    • Invitation for Bids (IFB) – Ministry of Defence Pool Exchange of Bell 212 Fuselage Assy with Serviceable Complete Bell 212 Helicopter for Sri Lanka Air Force Procurement Identification No: AHQ/24/FP/BEL/1022
      Invitation for Bids (IFB) – Ministry of Defence Pool Exchange of Bell 212 Fuselage Assy with Serviceable Complete Bell 212 Helicopter for Sri Lanka Air Force Procurement Identification No: AHQ/24/FP/BEL/1022
    • Procurement Notice – SriLankan Airlines Ltd Invitation for Submission of Bids
      Procurement Notice – SriLankan Airlines Ltd Invitation for Submission of Bids
    • Invitation for Bids (IFB) - Ceylon Petroleum Corporation
      Invitation for Bids (IFB) - Ceylon Petroleum Corporation
    • Request for Proposals (REP) - Litro Gas Terminal Lanka (Private) Limited
      Request for Proposals (REP) - Litro Gas Terminal Lanka (Private) Limited
    • Invitation for Bids (IFB) - Ministry of Ports and Civil Aviation Time Charter of Two Numbers 70 Ton BP Twin Azimuth Stern Drive Harbour Tugs for the Sri Lanka Ports Authority for Operations at the Port of Colombo
      Invitation for Bids (IFB) - Ministry of Ports and Civil Aviation Time Charter of Two Numbers 70 Ton BP Twin Azimuth Stern Drive Harbour Tugs for the Sri Lanka Ports Authority for Operations at the Port of Colombo
    • Procurement Notice - SriLankan Airlines Ltd Invitation for submission of bids for the Supply of Cutlery for Business Class & Economy Class Reference No.: IF/EPC/02/202
      Procurement Notice - SriLankan Airlines Ltd Invitation for submission of bids for the Supply of Cutlery for Business Class & Economy Class Reference No.: IF/EPC/02/202
    • Procurement Notices - State Pharmaceuticals Corporation of Sri Lanka
      Procurement Notices - State Pharmaceuticals Corporation of Sri Lanka
    • 152 Invitation for Bids (IFB) - SriLankan Catering Ltd Supply of whole Chicken with Skin for One Year (1st July 2026 to 30th June 2027)
      152 Invitation for Bids (IFB) - SriLankan Catering Ltd Supply of whole Chicken with Skin for One Year (1st July 2026 to 30th June 2027)
    • Invitation for Bids (IFB) - Ceylon Petroleum Storage Terminals Limited (CPSTL) Replacement of Petroleum Storage Tank No. 30 and 31 at Kolonnawa Installation Sri Lanka
      Invitation for Bids (IFB) - Ceylon Petroleum Storage Terminals Limited (CPSTL) Replacement of Petroleum Storage Tank No. 30 and 31 at Kolonnawa Installation Sri Lanka
    • Important Notice
      Important Notice
    • Procurement Notice - SriLankan Airlines Ltd Invitation for submission of bids for the Selection of Creative Agencies for Sri Lankan Airlines Reference No.: ADV/CREATIVE/ICB/RFP/01/2026
      Procurement Notice - SriLankan Airlines Ltd Invitation for submission of bids for the Selection of Creative Agencies for Sri Lankan Airlines Reference No.: ADV/CREATIVE/ICB/RFP/01/2026
    • Invitation for Bids (IFB) - Ceylon Petroleum Storage Terminals Limited (CPSTL) Engineering, Procurement, Construction, Commissioning, (EPCC) of Kolonnawa to Harbour Pipeline Project (KHPP)
      Invitation for Bids (IFB) - Ceylon Petroleum Storage Terminals Limited (CPSTL) Engineering, Procurement, Construction, Commissioning, (EPCC) of Kolonnawa to Harbour Pipeline Project (KHPP)
    • Procurement Notices - State Pharmaceuticals Corporation of Sri Lanka
      Procurement Notices - State Pharmaceuticals Corporation of Sri Lanka
    • Invitation for Bids (IFB) - Ceylon Petroleum Storage Terminals Limited (CPSTL) Replacement of Petroleum Storage Tank No. 30 and 31 at Kolonnawa Installation Sri Lanka
      Invitation for Bids (IFB) - Ceylon Petroleum Storage Terminals Limited (CPSTL) Replacement of Petroleum Storage Tank No. 30 and 31 at Kolonnawa Installation Sri Lanka
    • Request for Expression of Interest (REOI) – Select Consulting Firms for Regional Empowerment through Vibrant, Inclusive and Viable Economic (REVIVE) IRDP
      Request for Expression of Interest (REOI) – Select Consulting Firms for Regional Empowerment through Vibrant, Inclusive and Viable Economic (REVIVE) IRDP
    • Procurement Notice - State Pharmaceuticals Corporation of Sri Lanka
      Procurement Notice - State Pharmaceuticals Corporation of Sri Lanka

Sri Lanka Embassy

  • Gaziosmanpaşa, Kırlangıç Sk. No:41, 06700 Çankaya/Ankara
  • slemb.ankara@mfa.gov.lk
  • +90 312 427 10 20 - 25
  • +90 312 427 10 26
  • For emergency calls
    0090 312 427 10 32 / 0090 534 456 94 98 (Mobile)
  • Google Map
© Copyrights 2021 Sri Lanka Embassy in Türkiye All rights reserved.